Abby Choi Wiki, Age, Ex-husband, Murder, News, Height, Career & Nationality Emily Dawson Jan 20, 2026 Abby Choi (born on July 11, 1994; Age: 28 years) was a Hong Kong-based model, fashion icon, and social media personality who was reported missing on Tuesday.
Banker Elizabeth Sam Wikipedia: Husband And Death Cause Jackson Reed Jan 20, 2026 Explore Elizabeth Sam Wikipedia and Learn about the accomplished career and legacy of the veteran Singaporean banker.
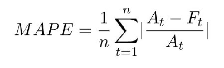
MAPE - MPE - MAPD Calculator James Stevens Jan 20, 2026 Mean Absolute Percentage Error Calculator, Mean Percentage Calculator, Symmetric Mean Absolute Percentage Error Calculator
Dirtyxan Phone Number, WhatsApp, House Address, Email Id James Stevens Jan 20, 2026 Dirtyxan Phone Number is +1(208)581-0694. New Numbers are…. WhatsApp Number, House Address, Email Id, Contacts
Texas Longhorns Top 10 Returning Players in 2023 Include Quinn Ewers, Xavier Worthy Mia Moss Jan 20, 2026 The top 10 returning players for the Texas Longhorns is a talented group of potential stars at the college AND professional level.
Kaavya Vurity Viral Video And MMS: Leaked Footage Scandal And Controversy Ava Robinson Jan 20, 2026 Kaavya Vurity Viral Video And MMS have been frequently searched by people on the internet. Find out what is the video about.
Melissa Debling: Bio, Career, Net worth & more Olivia Carter Jan 20, 2026 Who is Melissa Debling? Melissa Debling is best known as a British Model, Instagram...
Rain Brown wiki, bio, age, net worth, family, siblings and facts. Robert Guerrero Jan 20, 2026 The youngest daughter of Bill Brown and his wife Ami Brown is Rain Brown. This beautiful young girl is the reality TV star notably known as the
The Glory Season 2 Release Date, Episodes, Ending Explained & What To Expect!! Mia Moss Jan 20, 2026 The Glory Season 2 Release Date:- The glory fantastic South Korean series, which received widespread Acclaim for its dramatic storyline and emotional